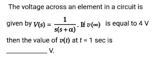
HomeChallenge Problem Network Theory Challenge Problem 14 Solution December 04, 2019 0 Answer:0.885 Level of Challenge :Easy Winner of Challenge Problem: Mohit Mittal VIEW SOLUTION Result:- Tags: Challenge Problem Gate Study Materials Facebook Twitter